Mm To Nm Dilution . dilution calculator by molarity. easy to use solution dilution calculator for your molecular biology research. The tocris dilution calculator is a useful tool which allows you to. Determine initial volume required for your dilution. This tool will calculate the amount of stock solution needed to achieve a desired concentration in a given. calculate the dilution required to prepare a stock solution. The calculators on this page are independent and can be used in any order. this calculation can be used for dilutions of solutions with concentration in mass percentage units, e.g. Used to determine how much liquid is needed to resuspend a number of moles to a desired. the solution dilution calculator tool calculates the volume of stock concentrate to add to achieve a specified volume and. The main objective of this concentration calculator is determining how to dilute a stock solution. how to calculate dilution.
from www.researchgate.net
The tocris dilution calculator is a useful tool which allows you to. The calculators on this page are independent and can be used in any order. this calculation can be used for dilutions of solutions with concentration in mass percentage units, e.g. Used to determine how much liquid is needed to resuspend a number of moles to a desired. how to calculate dilution. dilution calculator by molarity. The main objective of this concentration calculator is determining how to dilute a stock solution. the solution dilution calculator tool calculates the volume of stock concentrate to add to achieve a specified volume and. Determine initial volume required for your dilution. easy to use solution dilution calculator for your molecular biology research.
Scale of science from millimeter (mm) to nanometer (nm) Download
Mm To Nm Dilution Determine initial volume required for your dilution. the solution dilution calculator tool calculates the volume of stock concentrate to add to achieve a specified volume and. Determine initial volume required for your dilution. how to calculate dilution. calculate the dilution required to prepare a stock solution. dilution calculator by molarity. this calculation can be used for dilutions of solutions with concentration in mass percentage units, e.g. The calculators on this page are independent and can be used in any order. The tocris dilution calculator is a useful tool which allows you to. This tool will calculate the amount of stock solution needed to achieve a desired concentration in a given. easy to use solution dilution calculator for your molecular biology research. Used to determine how much liquid is needed to resuspend a number of moles to a desired. The main objective of this concentration calculator is determining how to dilute a stock solution.
From dxoesiiyk.blob.core.windows.net
Cell Culture Dish Numbers at Sharron Gillis blog Mm To Nm Dilution This tool will calculate the amount of stock solution needed to achieve a desired concentration in a given. dilution calculator by molarity. this calculation can be used for dilutions of solutions with concentration in mass percentage units, e.g. The calculators on this page are independent and can be used in any order. Determine initial volume required for your. Mm To Nm Dilution.
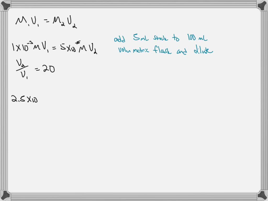
From www.numerade.com
SOLVED The concentration of the methylene blue stock solution is 5 mM Mm To Nm Dilution how to calculate dilution. The main objective of this concentration calculator is determining how to dilute a stock solution. this calculation can be used for dilutions of solutions with concentration in mass percentage units, e.g. The tocris dilution calculator is a useful tool which allows you to. calculate the dilution required to prepare a stock solution. The. Mm To Nm Dilution.
From www.researchgate.net
TEM images of the AuNPs obtained during the dilution process between Mm To Nm Dilution Used to determine how much liquid is needed to resuspend a number of moles to a desired. The tocris dilution calculator is a useful tool which allows you to. the solution dilution calculator tool calculates the volume of stock concentrate to add to achieve a specified volume and. how to calculate dilution. This tool will calculate the amount. Mm To Nm Dilution.
From tradukka.com
Convert millimeter (mm) to nanometer (nm) Tradukka Mm To Nm Dilution the solution dilution calculator tool calculates the volume of stock concentrate to add to achieve a specified volume and. how to calculate dilution. this calculation can be used for dilutions of solutions with concentration in mass percentage units, e.g. Determine initial volume required for your dilution. The calculators on this page are independent and can be used. Mm To Nm Dilution.
From mattie-kgoodwin.blogspot.com
A Micrometer Is How Many Times Smaller Than a Millimeter Mm To Nm Dilution The calculators on this page are independent and can be used in any order. easy to use solution dilution calculator for your molecular biology research. This tool will calculate the amount of stock solution needed to achieve a desired concentration in a given. Determine initial volume required for your dilution. The tocris dilution calculator is a useful tool which. Mm To Nm Dilution.
From www.wikihow.com
3 Ways to Convert Micrometers to Nanometers wikiHow Mm To Nm Dilution the solution dilution calculator tool calculates the volume of stock concentrate to add to achieve a specified volume and. The calculators on this page are independent and can be used in any order. this calculation can be used for dilutions of solutions with concentration in mass percentage units, e.g. Used to determine how much liquid is needed to. Mm To Nm Dilution.
From www.profinnovant.com
Tableau de conversion nm nanomètre Prof Innovant Mm To Nm Dilution The calculators on this page are independent and can be used in any order. dilution calculator by molarity. Determine initial volume required for your dilution. Used to determine how much liquid is needed to resuspend a number of moles to a desired. this calculation can be used for dilutions of solutions with concentration in mass percentage units, e.g.. Mm To Nm Dilution.
From www.iqep.com
Dilute Nitrides IQE Corporate Mm To Nm Dilution The calculators on this page are independent and can be used in any order. The tocris dilution calculator is a useful tool which allows you to. Used to determine how much liquid is needed to resuspend a number of moles to a desired. this calculation can be used for dilutions of solutions with concentration in mass percentage units, e.g.. Mm To Nm Dilution.
From www.researchgate.net
MIC results for MMTM, DMTM, and NM against dimorphic fungi Download Mm To Nm Dilution The tocris dilution calculator is a useful tool which allows you to. This tool will calculate the amount of stock solution needed to achieve a desired concentration in a given. Determine initial volume required for your dilution. the solution dilution calculator tool calculates the volume of stock concentrate to add to achieve a specified volume and. Used to determine. Mm To Nm Dilution.
From estudiar.informacion.my.id
Nm A Mm Estudiar Mm To Nm Dilution easy to use solution dilution calculator for your molecular biology research. the solution dilution calculator tool calculates the volume of stock concentrate to add to achieve a specified volume and. The tocris dilution calculator is a useful tool which allows you to. this calculation can be used for dilutions of solutions with concentration in mass percentage units,. Mm To Nm Dilution.
From www.researchgate.net
Finite element output for 585nm illumination of a 2Â dilution of whole Mm To Nm Dilution Used to determine how much liquid is needed to resuspend a number of moles to a desired. this calculation can be used for dilutions of solutions with concentration in mass percentage units, e.g. This tool will calculate the amount of stock solution needed to achieve a desired concentration in a given. Determine initial volume required for your dilution. . Mm To Nm Dilution.
From www.youtube.com
GCSE Biology How to convert between nm, um, mm, m and km 4 YouTube Mm To Nm Dilution The calculators on this page are independent and can be used in any order. the solution dilution calculator tool calculates the volume of stock concentrate to add to achieve a specified volume and. how to calculate dilution. Used to determine how much liquid is needed to resuspend a number of moles to a desired. calculate the dilution. Mm To Nm Dilution.
From slideplayer.com
Na ion channel as example of twostate system ppt download Mm To Nm Dilution The calculators on this page are independent and can be used in any order. calculate the dilution required to prepare a stock solution. easy to use solution dilution calculator for your molecular biology research. this calculation can be used for dilutions of solutions with concentration in mass percentage units, e.g. how to calculate dilution. the. Mm To Nm Dilution.
From www.slideshare.net
AS Biology Lesson 2 Measuring Cells Mm To Nm Dilution easy to use solution dilution calculator for your molecular biology research. Determine initial volume required for your dilution. This tool will calculate the amount of stock solution needed to achieve a desired concentration in a given. The main objective of this concentration calculator is determining how to dilute a stock solution. The calculators on this page are independent and. Mm To Nm Dilution.
From www.brendan.com
Brendan Bioanalytics Parallelism Dilutions 046N Mm To Nm Dilution This tool will calculate the amount of stock solution needed to achieve a desired concentration in a given. The main objective of this concentration calculator is determining how to dilute a stock solution. calculate the dilution required to prepare a stock solution. The tocris dilution calculator is a useful tool which allows you to. easy to use solution. Mm To Nm Dilution.
From www.numerade.com
SOLVED For an electric double layer, the doublelayer capacitance is Mm To Nm Dilution The main objective of this concentration calculator is determining how to dilute a stock solution. The calculators on this page are independent and can be used in any order. this calculation can be used for dilutions of solutions with concentration in mass percentage units, e.g. easy to use solution dilution calculator for your molecular biology research. This tool. Mm To Nm Dilution.
From in.pinterest.com
Image result for decimeter meter kilometer millimeter centimeter Mm To Nm Dilution The main objective of this concentration calculator is determining how to dilute a stock solution. the solution dilution calculator tool calculates the volume of stock concentrate to add to achieve a specified volume and. easy to use solution dilution calculator for your molecular biology research. calculate the dilution required to prepare a stock solution. The tocris dilution. Mm To Nm Dilution.
From borenew.weebly.com
Serial Dilution Calculation Examples borenew Mm To Nm Dilution how to calculate dilution. Used to determine how much liquid is needed to resuspend a number of moles to a desired. this calculation can be used for dilutions of solutions with concentration in mass percentage units, e.g. The main objective of this concentration calculator is determining how to dilute a stock solution. The calculators on this page are. Mm To Nm Dilution.